← Return to Pro Wrestling Text Adventure (PWTA)
Devlog
- November 12, 2025 by Nmodern#works cited, #mla formatI included a works cited page in the code since there are some literary references in the game... Continue reading

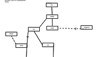
- August 26, 2025 by Nmodern#Interactive Fiction, #IF Mapper, #IFMapper, #TrizbortSo here are just a few variations of the stories that were brainstormed and slowly manufactured. The most difficult part was coming to terms with certain ideas and angles. Since the ideas were all jot... Continue reading

- July 18, 2025 by Nmodern#pro wrestling, #text adventure, #development log, #Notepad++, #JavaHere's a lesson we've learned while designing the game... For the most part it is trial and error, but luckily we've figured out some method to make the gameplay more meaningful while developing our u... Continue reading

- July 10, 2025 by Nmodern#pro wrestling, #development log, #text adventure!!! WELCOME ONE AND ALL TO PRO WRESTLING TEXT ADVENTURE !!! Future wrestlers to play a significant role in the story/world of pwta - - - - - - - - - - - - - - - - - - - - - - - - - - - - - - - - - - -... Continue reading






